2024학년도 9월 모의고사 물리 20번 해설, 문제, 정답, 풀이
문제
240920p) 그림과 같이 빗면에서 물체가 등가속도 직선 운동을 하여 점 a, b, c, d를 지난다. a에서 물체의 속력은 v이고, 이웃한 점 사이의 거리는 L, 6L, 3L이다. 물체가 a에서 b까지, c에서 d까지 운동하는데 걸린 시간은 같고, a와 d 사이의 평균 속력은 b와 c사이의 평균 속력과 같다.

정답
객관식 : 4번
해설
그림과 같이 빗면에서 물체가 등가속도 직선 운동을 하여 점 a, b, c, d를 지난다. a에서 물체의 속력은 v이고, 이웃한 점 사이의 거리는 L, 6L, 3L이다. 물체가 a에서 b까지, c에서 d까지 운동하는데 걸린 시간은 같고, a와 d 사이의 평균 속력은 b와 c사이의 평균 속력과 같다.

문제를 읽을 때 물체가 a에서 b까지, c에서 d까지 운동하는데 걸린 시간은 같다고 했으니 시간을 t로 잡는다.
b에서 c까지 갈 때의 시간을 T로 설정한 다음, 평균 속력에 대한 진술(a와 d 사이의 평균 속력은 b와 c사이의 평균 속력과 같다)을 바탕으로 아래와 같은 식을 세울 수 있다.

T=3t 임을 구할 수 있다.
a에서 b까지 t초동안 L을, b에서 c까지 3t초동안 6L을, c에서 d까지 t초동안 3L을 간다고 했으니 평균속력은 각각 L/t, 2L/t, 3L/t, 즉 1:2:3의 비율을 가짐을 알 수 있다.

t초동안 증가하는 속력을 v'이라고 하면 a에서의 속력은 v, b에서의 속력은 v+v', c에서의 속력은 v+4v', d에서의 속력은 v+5v'이다. 평균속도의 비율을 이용해 v'을 구한다고 한다면 아래와 같이 식을 세울 수 있다.


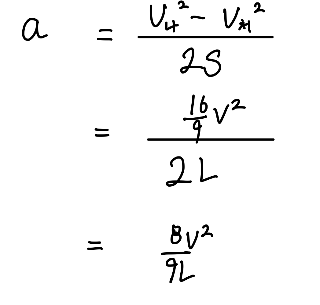
2aS=v1^2-v0^2 공식을 이용해 가속도 a를 구하면 아래와 같다.


문제 검색 하는 법
문제 검색 하는 법 : [학년도/시행월/문제번호/과목명]
과목명 : [m - 수학 1ᐧ수학 2ᐧ미적분, k - 독서ᐧ문학ᐧ언어와 매체, p - 물리학 1]
ex) 24학년도 6월 모의고사 미적분 30번 풀이의 경우 "240630m"(으)로 검색
혹시 오류가 있다면 언제든 지적 부탁드립니다! 감사합니다!