필자의 부족한 평가
2023학년도 미적분 문제에서 29번으로 역함수의 적분이 나왔다. 2023학년도 6월 모의고사 때는 29번으로 도형의 극한이, 2023학년도 9월 모의고사 때는 29번으로 역함수의 미분이 나왔다. 단순한 우연인지 평가원의 노림인지, 9월 모의고사에서 사용된 소재를 미분과 불가분의 관계인 적분으로 바꾸어 출제한 모습을 볼 수 있다.
2023학년도 대학수학능력평가에서는 29번 문제가 비교적 쉽게 출제되었다. 개인적인 생각으로, 9월 모의고사의 기조를 따라간 것이었다면, 조금 더 어렵게 출제해 기출의 중요성을 역설할 수 있는 선택지도 존재했을 텐데 그렇지 않았다는 아쉬움이 남아있다.
하지만 이 문제를 계기로 기출문제의 기조에서 크게 벗어나지 않음을 알 수 있고, 앞으로 학습할 때 기출도 중요시 여겨야 한다는 점을 짚고 넘어갈 수 있다.필자가 생각하는 출제포인트 : 역함수의 관계를 아는가? 복잡한 적분 계산을 실수 없이 할 수 있는가?
문제

아래 문제가 아래 사진처럼 자연스럽지 않다면? >> https://seook.tistory.com/17

세 상수 $a,\ b,\ c$에 대하여 함수 $f(x)=ae^{2x}+be^x+c$가 다음 조건을 만족시킨다.
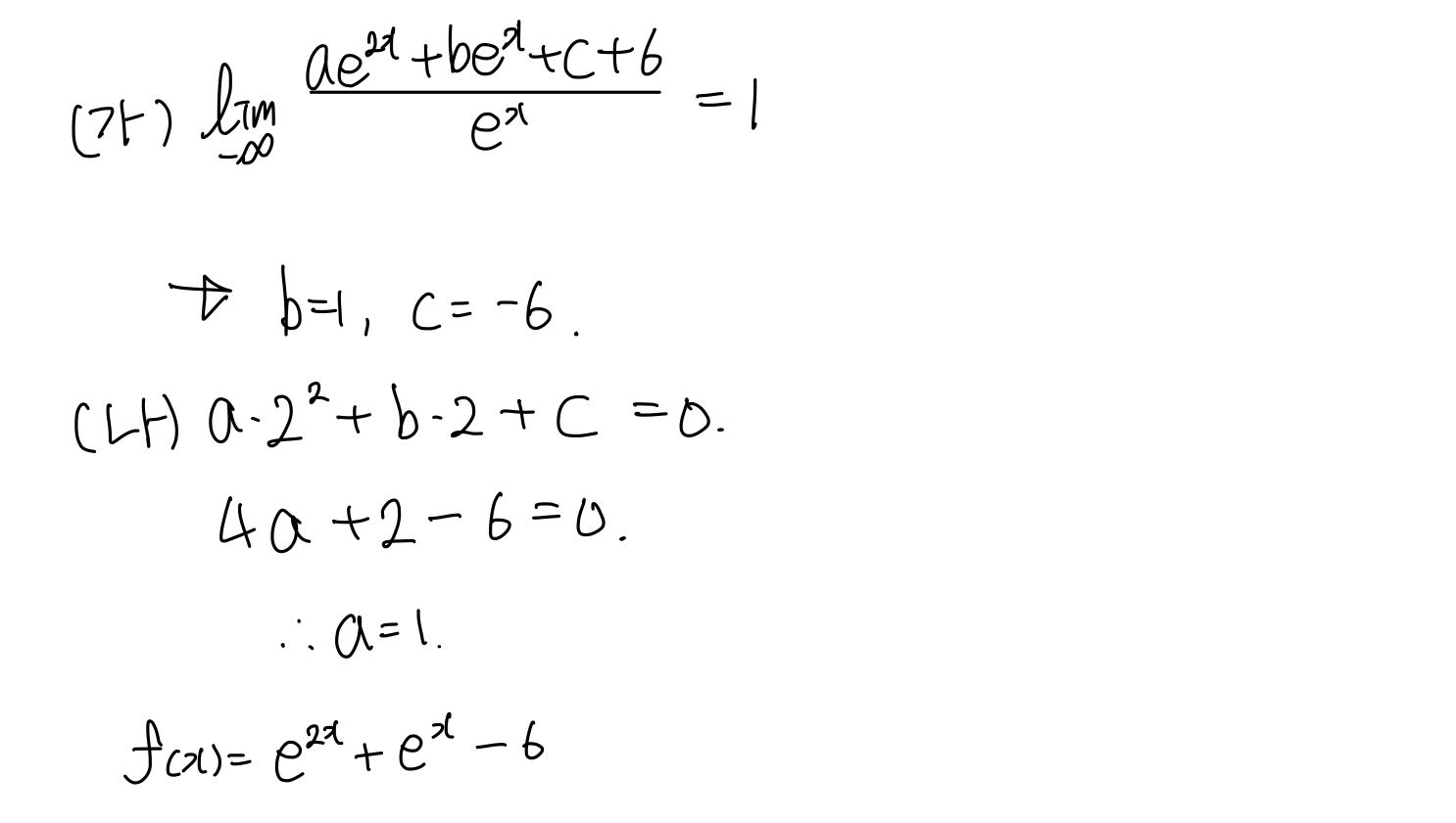
(가)$\displaystyle\;\lim_{x\to-\infty}\frac {f(x)+6}{e^x}=1$
(나)$f(\ln2)=0$
함수 $f(x)$의 역함수를 $g(x)$라 할 때, $\displaystyle\int^{14}_0g(x) dx=p+q\ln2$이다. $p+q$의 값을 구하시오.
(단, $p,\,q$는 유리수이고, $\ln2$는 무리수이다.)
정답
$26$
풀이
우선 (가) 조건과 (나) 조건을 통해 $f(x)$의 단서를 찾아보자.

(가)의 조건을 사용하면
$\displaystyle\lim_{x\to-\infty}\frac {ae^{2x}+be^x+c+6}{e^x}=1$이므로,
$b=1,\;c=-6$임을 알 수 있다.
또, (나)의 조건을 $f(x)$에 대입해 보면 $a$마저 구할 수 있다.
$a=1$
$\therefore f(x)=e^{2x}+e^{x}-6$

적분을 하기에 앞서, 역함수 적분 관련 문제를 풀 때 알면 편한 점에 대해 알아보려 한다.
역함수 관계에 있는 두 함수는 오른쪽과 같이 표현할 수 있다. $f(g(x))=x,\; g(f(x))=x$
위 식을 미분하면, $f^\prime(g(x))g^\prime(x)=1,\;g^\prime(f(x))f^\prime(x)=1$를 각각 얻을 수 있다.
어떤 식의 양 변에 같은 수를 곱하는 것은 문제가 없으므로, 1에 해당하는 위 값을 한쪽에만 곱해도 식의 결과에는 변화가 없다.
$\displaystyle\int^{14}_0g(x) dx=\int^{14}_0g(x) f^\prime(g(x))g^\prime(x) dx$
$g(x)=t$라 하면, $g^\prime(x) dx = dt$라 할 수 있다.
또, $f(\ln2)=0,\; f(\ln4)=14$이므로
역함수의 관계에 의해 $g(0)=\ln2,\; g(14)=\ln4$이다.
$\begin {align}\displaystyle\int^{14}_0g(x) f^\prime(g(x))g^\prime(x)&=\int^{\ln4}_{\ln2} tf(t) dt\\
&=\int^{\ln4}_{\ln2} t(2e^{2t}+e^t) dt\;\;(\because f^\prime(x)=2e^{2x}+e^x)\\
&=\left [te^{2t}-\frac12 e^{2t}+te^t-e^t\right]^{\ln4}_{\ln2}\\
&=34\ln2-8
\end {align}$
$p=-8,\;q=34$
$\therefore\;p+q=26$
필자는 개인적으로 위 적분하는 식을 조작하는 방법을 체득하면 좋겠다는 소망이 있다. 식이 조금 복잡해져도 위 식 조작을 통하면 간단하게 치환할 수 있는 방도가 생기기 때문이다. 이 문제는 한 번 풀면 그 이후부터는 쉽게 풀 수 있으므로, 역함수 관련 성질 복기, 계산 능력 향상 목적으로 중요한 시험 목전에 뒤돌아 보는 방향으로 사용하면 될 듯하다.
2024학년도 6월 모의고사까지 35일 남은 지금, 공부하는 수험생들 모두 "현재"의 시간이 나중에 "후회 없는"경험이 되도록 시간을 사용했으면 좋겠다.
학습에 도움이 되었으면 하고, 앞으로 검색할 때 여기에서 우선적으로 찾으면 편하게끔 하려고 한다. 혹시 풀이가 필요한 수학문제, 국어문제, 물리문제가 있다면 무슨 모의고사 몇 번 문제인지 아래 폼으로 알려주면 우선적으로 추가하겠다.
파일을 포함한 질문은 여기로 >> https://forms.gle/mMjHoqgRuY1dUtyy9
문제 검색 하는 법
문제 검색 하는 법 : [학년도/시행월/문제번호/과목명]
과목명 : [m - 수학1ᐧ수학2ᐧ미적분, k - 독서ᐧ문학ᐧ언어와 매체, p - 물리학 1]
ex) 24학년도 6월 모의고사 미적분 30번 풀이의 경우 "240630m"(으)로 검색
혹시 오류가 있다면 언제든 지적 부탁드립니다! 감사합니다!
'모의고사·수능 > 수학 2024학년도 이전' 카테고리의 다른 글
| 2023학년도 11월 (대수능) 수학 공통 22번 해설, 문제, 정답, 풀이 [231122m] (2) | 2023.04.30 |
|---|---|
| 2023학년도 11월 (대수능) 미적분 30번 해설, 문제, 정답, 풀이, n축[231130m] (0) | 2023.04.28 |
| 2023학년도 9월 미적분 28번 삼도극 풀이, 식 근사 풀이, 정답, 문제 [230928m] (0) | 2023.04.27 |
| 2023학년도 11월(대수능) 미적분 28번 풀이, 식 근사, 도형 근사 풀이, 정답, 문제 [231128m] (0) | 2023.04.27 |
| 23학년도 6월 미적분 29번 풀이, 식 근사, 도형 근사 풀이 [230629m] (0) | 2023.04.27 |