평가
2023학년도 미적분 문제에서 30번 문제로 합성함수 문제가 출제되었다. 2023학년도 6월 모의고사 30번에서는 교점의 개수, 2023학년도 9월 모의고사 30번에서는 적분이 나왔다. 이번에 출제된 합성함수 문제는 침착하게 접근했다면 어렵지 않게 풀어냈을 문제였다.
수능 시험장에서 침착하게 문제에 접근하기 위해서는 문제를 푸는 일반적인 원칙이 있어야 한다. 도형문제가 나오면, 원주각 찾고 사인법칙 코사인법칙 사용하기와 같이 한 번에 풀이가 안된다면 해볼 수 있는 방법을 들과 같은 것 말이다. 이번 문제에서도 경우를 나누는 부분이 있어, 만약 해당 부분을 구분지어서 생각하지 않았다면 복잡하게 느껴졌을 수도 있다.
필자는 N축(그래프 돌려서 그리기)을 사용해 문제를 풀이하였다. 물론 교육과정에 없는, 대치동의 암흑의 스킬이지만, 해설지를 작성하는 것이 아닌, 시험장에 있는 그 당시에 빨리 정확히 풀기만 하면 되는 시험 특성을 고려해 n 축을 사용해 풀이했다.
문제

아래 문제가 아래 사진처럼 자연스럽지 않다면? >> https://seook.tistory.com/18

최고차항의 계수가 양수인 삼차함수 $f(x)$와 함수 $\displaystyle g(x)=e^{\sin{\pi x}}-1$에 대하여 실수 전체의 집합에서 정의된 합성함수 $h(x)=g(f(x))$가 다음 조건을 만족시킨다.
(가) 함수 $h(x)$ 는 $x=0$에서 극댓값 $0$을 갖는다.
(나) 열린구간 $(0,\,3)$에서 방정식 $h(x)=1$의 서로 다른 실근의 개수는 $7$이다.
$\displaystyle f(3)=\frac12,\,f^\prime(3)=0$일 때, $\displaystyle f(2)=\frac {q}{p}$이다. $p+q$의 값을 구하시오. (단, $p$와 $q$는 서로소인 자연수이다.)
정답
$31$
해설
$g(x)$의 모양이 특이하다. 그래프를 우선 그리고 시작하자.

$-1\leq\sin x\leq1$
$e^{-1}-1\leq g(x) \leq e-1$, 주기는 $2$이다.
그래프는 위 그림과 같이 전개될 것이다.

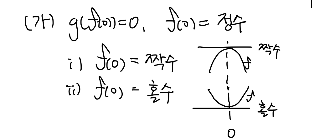
(가)조건을 우선 검토해 보면, $g(f(0))=0$이므로, $f(0)=\text {정수}$임을 알 수 있다.
정수에는 홀수와 짝수, 두 경우가 존재하고 각 경우마다 그래프가 달라지므로 구분해서 생각한다.
$1) f(0)=\text{짝수}$, 위 그림과 같이 $f(0)$이 짝수라면, 합성함수에서 극댓값을 갖기 위해 $f(x)$가 $x=0$에서 극댓값을 가져야 한다.
$2) f(0)=\text{홀수}$, 위 그림과 같이 $f(0)$이 홀수라면, 합성함수에서 극댓값을 갖기 위해 $f(x)$가 $x=0$에서 극솟값을 가져야 한다.

분류한 케이스를 그대로 이어나가 다른 조건에도 적용해 보자. (나) 조건은 $f(x)$의 극점을 조절하기 위해 존재하는 것 같으므로, 나중으로 제쳐두고 발문 마지막에 있는 $\displaystyle f(3)=\frac12,\,f^\prime(3)=0$일 때, $\displaystyle f(2)=\frac {q}{p}$를 우선적으로 적용해 안 되는 경우를 제거하자.
$1) f(0)=$짝수인 경우, 해당 조건을 만족하는 경우가 존재한다.
$2) f(0)=$홀수인 경우, 해당 조건을 만족하는 경우가 존재하지 않는다. (최고차항이 양수인 삼차함수는 극대 → 극소로 전개하는데, 이미 0에서 극소점을 "차지"했기 때문에 3이 들어설 자리가 없다.)
따라서 함수는 $0$에서 극댓값, $3$에서 극솟값을 갖는다.

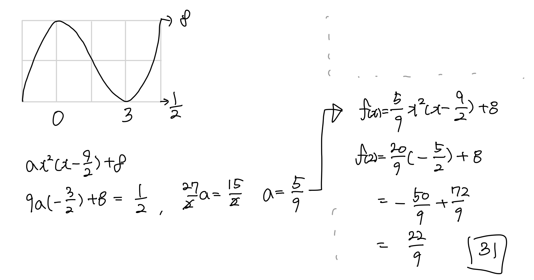
이어 (나)조건을 사용해 $f(x)$를 결정하자. 그림이 다소 이해가 안 될 수 있는데, 고개를 오른쪽으로 $90^\circ$돌려 보면 $0~3$의 구간만 그린 삼차함수의 일부가 보인다. $g(x)=1$인 교점을 아래로 선을 그어 $f(x)$와의 교점을 세어 $7$개가 되게 하면 된다.
$\displaystyle\left(\frac12,1\right)$에 교점을 하나 갖고, $(2,\,3)$에서 두 개, $(4,\,5)$에서 두 개, $(6,\,7)$에서 두 개를 가져 총 7개가 된다.
이제 $f(0)$을 정해야 하는데, $f(0)$이 될 수 있는 정수 값은 $7$또는 $8$이다.
$\therefore f(0)=8,\;(\because f(0)=\text{짝수})$

$f(x)$를 결정하기 위한 모든 조건이 나왔으니 방정식을 구하면..
$\displaystyle f(x)=ax^2\left(x-\frac92\right)+8$
$\displaystyle f(3)=\frac12$이므로,
$\displaystyle a=\frac59$
$\displaystyle f(x)=\frac59 x^2\left(x-\frac92\right)+8$
$\begin {aligned}\displaystyle f(2)&=\frac {20}{9}\left(-\frac52\right)+8\\&=-\frac {50}{9}+8\\&=\frac {22}{9}\end {aligned}$
$p=9$, $q=22$
$\therefore p+q=31$
삼차함수를 구할 때 $y=8$을 기준으로 $0$에서 극값, $\frac92$에서 근을 갖는다고 식을 세운 것이다.
($\frac92$는 삼차함수 비율 관계로 구함)
2024학년도 6월 모의고사까지 35일 남은 지금, 공부하는 수험생들 모두 "현재"의 시간이 나중에 "후회 없는"경험이 되도록 시간을 사용했으면 좋겠다.
혹시 오류가 있다면 언제든 지적 부탁드립니다! 감사합니다!
'모의고사·수능 > 수학 2024학년도 이전' 카테고리의 다른 글
| 2022학년도(2021년 시행) 11월(대수능) 미적분 29번 삼도극 풀이, 식 근사 풀이, 정답, 문제 [221129m] (1) | 2023.06.27 |
|---|---|
| 2023학년도 11월 (대수능) 수학 공통 22번 해설, 문제, 정답, 풀이 [231122m] (2) | 2023.04.30 |
| 2023학년도 11월 (대수능) 미적분 29번 해설, 문제, 정답, 풀이 [231129m] (0) | 2023.04.28 |
| 2023학년도 9월 미적분 28번 삼도극 풀이, 식 근사 풀이, 정답, 문제 [230928m] (0) | 2023.04.27 |
| 2023학년도 11월(대수능) 미적분 28번 풀이, 식 근사, 도형 근사 풀이, 정답, 문제 [231128m] (0) | 2023.04.27 |