서론
느낌이 삼도극 문제가 나올 것 같지가 않지만, 그래도 인생은 혹시 모르니 준비하는 것이 좋을 듯하다. 이번 문제는 2022학년도 대학수학능력시험 오답률 86%에 달하는 문제이다.
앞선 국어시험이 되게 어려웠고, 이 문제도 만만치 않아 수험생들의 멘탈이 많이 흔들렸을 것으로 예상된다.
도형근사 식 근사 나누기는 뭐하지만, 두 가지의 접근 방법을 모두 다 올리므로, 참고하면 좋겠다.
문제

그림과 같이 길이가 $2$인 선분 AB 를 지름으로 하는 반원이 있다. 호 AB 위에 두 점 P, Q를 $\angle {PAB}=\theta$, $\angle {QBA}=2\theta$가 되도록 잡고, 두 선분 AP, BQ의 교점을 R라 하자. 선분 AB 위의 점 S , 선분 BR 위의 점 T , 선분 AR 위의 점 U를 선분 UT 가 선분 AB에 평행하고 삼각형 STU 가 정삼각형이 되도록 잡는다. 두 선분 AR , QR와 호 AQ로 둘러싸인 부분의 넓이를 $f(\theta)$, 삼각형 STU 의 넓이를 $g(\theta)$라 할 때,
$\displaystyle\lim_{\theta\to0+}\frac {g(\theta)}{\theta\times f(\theta)}=\frac{q}{p}\sqrt3$이다. $p+q$의 값을 구하시오.
(단, $\displaystyle 0 <\theta <\frac {\pi}6$이고, $p$와 $q$는 서로소인 자연수이다.)
정답
( 주관식 ) 11
해설
$f(\theta)$를 구할 때 부채꼴 $QOA$ 넓이와 삼각형 $\triangle{QOB}$의 넓이를 더한 뒤, 삼각형 $\triangle{ARB}$의 넓이를 빼야 한다.

$$ f(\theta)=2\theta+\sin4\theta\frac12-\frac{2^2}{2}\frac{\tan{\theta}\tan{2\theta}}{\tan{\theta}+\tan{2\theta}}$$
문제 상황에서 $\displaystyle\lim_{\theta\to0+}$이라 했으므로 $f(\theta)$를 극한 보내면 다음과 같다.
$$\begin{align}\displaystyle\lim_{x\to0+}f(\theta)&=2\theta+2\theta-\frac43\theta\\ &=\frac83\theta\end{align}$$
(만약 위 삼각형 ARB의 넓이를 구하는 공식이 뭔지 이해가 안 된다면? >> https://mathlab.kr/29
이것도 모르고 수능 보러 간다고? 삼도극에 유용한 삼각형 넓이 공식
삼각형의 넓이를 구할 때 두 변의 길이와 끼인각의 사인값을 곱해 주로 구한다. 이번 게시글을 보고 나면 삼각형의 넓이를 구할 수 있는 또 다른 하나의 도구를 얻게 된다. 대치동의 암흑의 스킬
mathlab.kr

삼각형 ARB의 넓이는 도형 극한으로도 구할 수 있다. 문제 상황에서 AR과 RB의 길이를 구하면 각각 $\frac43$, $\frac23$이다.
따라서 근사된 삼각형의 넓이는 다음과 같다.
$$S_{\triangle{ARB}}=\frac12\frac432\cdot\theta=\frac12\frac232\cdot2\theta$$
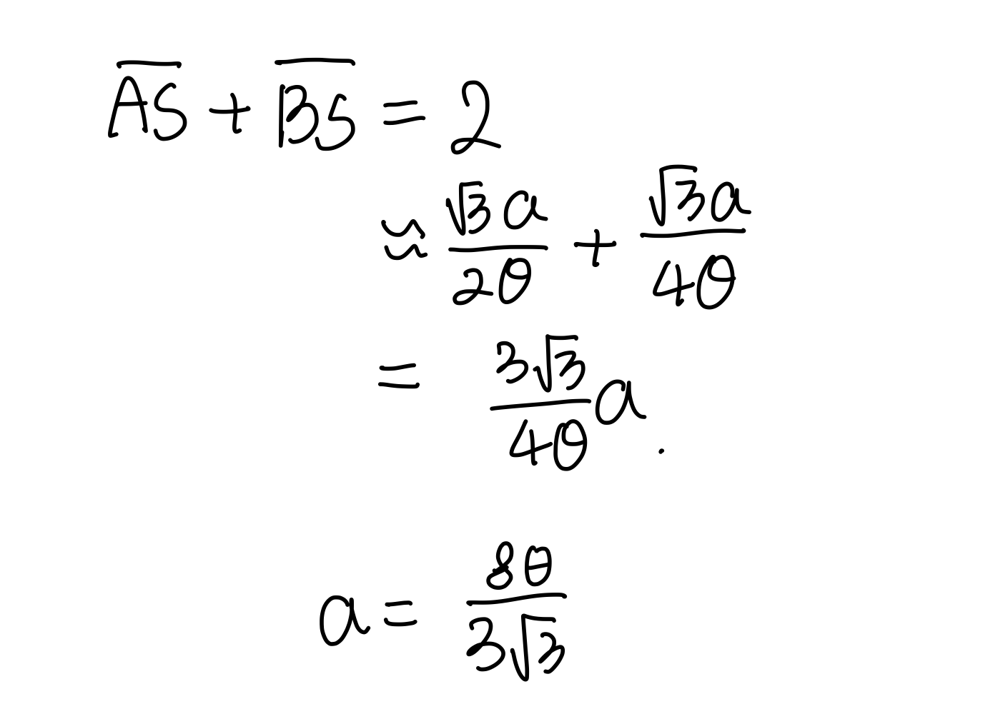
$g(\theta)$를 구하려면 정삼각형의 한 변의 길이를 알아야 한다. 그 길이를 $a$라고 하면, 선분 AB의 길이를 $a$로 표현할 수 있다.
선분 AS와 BS의 길이를 사인법칙을 통해 표현하면 다음과 같다.

$$\frac{\overline{AS}}{\sin(\frac{2\pi}{3}-\theta)}=\frac{a}{\sin\theta}$$
$$\frac{\overline{BS}}{\sin(\frac{2\pi}{3}-2\theta)}=\frac{a}{\sin2\theta}$$

두 길이의 합은 2라 하고, 그 식을 $\theta\to0+$(으)로 극한을 보내면 다음과 같다.
$$\begin{align}\overline{AS}+\overline{BS}&=2\\ &=\frac{\sqrt3a}{2\theta}+\frac{\sqrt3a}{4\theta}\\ &=\frac{3\sqrt3}{4\theta}a\end{align}$$
$$\therefore a=\frac{8\theta}{3\sqrt3}$$
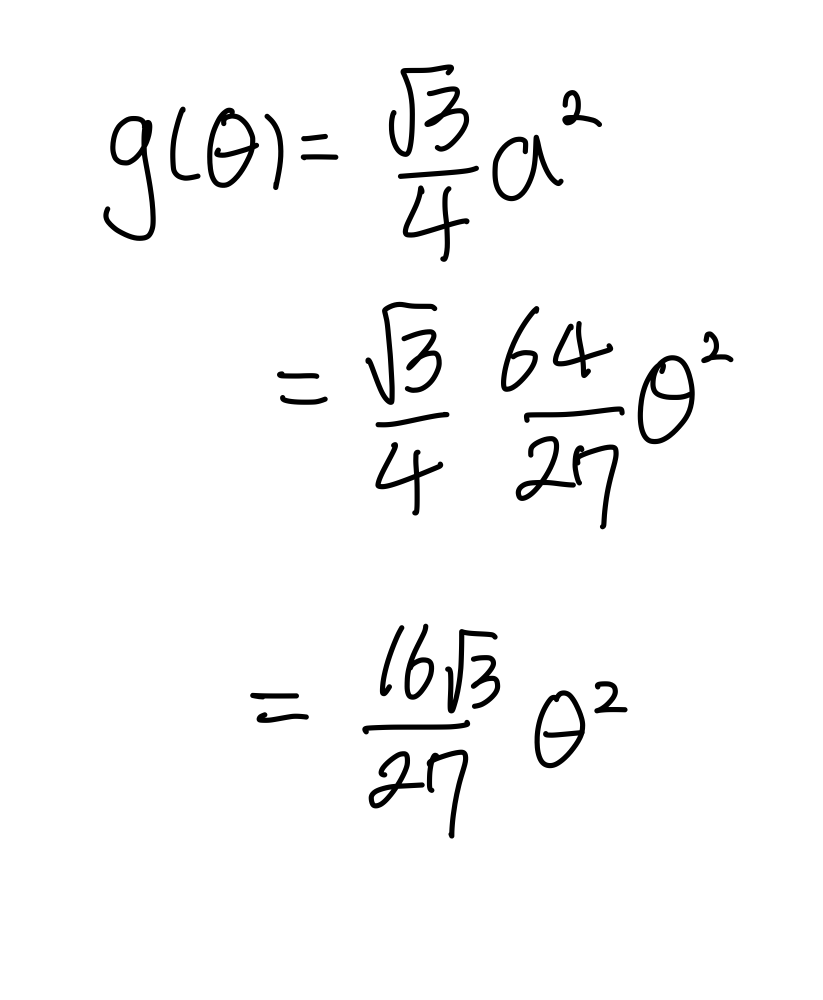
근사된 $g(\theta)$의 넓이는 다음과 같다.

$$\begin{align}g(\theta)&=\frac{\sqrt3}{4}a^2\\ &=\frac{\sqrt3}{4}\frac{64}{27}\theta^2\\ &=\frac{16\sqrt3}{27}\theta^2\end{align}$$
따라서 정답을 구해보면

$$\lim_{\theta\to0+}\frac {g(\theta)}{\theta\times f(\theta)}=\frac{\displaystyle\frac{16\sqrt3}{27}\theta^2}{\displaystyle\frac83\theta^2}=\frac{2\sqrt3}9$$
$$p=9,\,q=2\text{ , }p+q=11$$
정답은 11이다.
2026학년도 대학수학능력시험 문제 해설 모음
14번 - 2026.01.18 - [모의고사·수능/수학 2026학년도] - 2026학년도 대학수학능력시험 공통 14번 쉬운 풀이 / 원과 삼각형, 사인법칙과 코사인법칙 2026학년도 대학수학능력시험 공통 14번 쉬운 풀이 / 원
mathlab.kr
마지막 수정 : 2026.01.20
혹시 오류가 있다면 언제든 지적 부탁드립니다! 감사합니다!
댓글로 계산 실수 바로 잡아주신 new user님 감사합니다!
'모의고사·수능 > 수학 2024학년도 이전' 카테고리의 다른 글
| 2023학년도 11월 (대수능) 수학 공통 22번 해설, 문제, 정답, 풀이 [231122m] (2) | 2023.04.30 |
|---|---|
| 2023학년도 11월 (대수능) 미적분 30번 해설, 문제, 정답, 풀이, n축[231130m] (0) | 2023.04.28 |
| 2023학년도 11월 (대수능) 미적분 29번 해설, 문제, 정답, 풀이 [231129m] (0) | 2023.04.28 |
| 2023학년도 9월 미적분 28번 삼도극 풀이, 식 근사 풀이, 정답, 문제 [230928m] (0) | 2023.04.27 |
| 2023학년도 11월(대수능) 미적분 28번 풀이, 식 근사, 도형 근사 풀이, 정답, 문제 [231128m] (0) | 2023.04.27 |