2024학년도 9월 모의고사이 2023년 9월 6일에 시행되었다. 이 글은 시험을 시행한지 24시간 가량 지난 뒤에 쓰는 글인데, 늦었지만 수험생들에게 고생 많이 했다는 말을 전하고 싶다.
이번 시험에서 성적이 원하는 대로 나오지 않았다면 오히려 좋다! 내 구멍을 인정하고 채우면 수능에서 그 구멍때문에 손해를 보는 일은 없을 것이다! 모두 고지가 얼마 남지 않았다. 조금만 더, 정말로 조금만 더 마지막 스퍼트를 하길 바란다. 놀 시간은 수능 끝나고 4개월가량 주어지니, 꼭, 집중하자.
9월 모의고사 미적분 30번에서 미분법 문제가 나왔다. 라이프니츠 미분을 할 수 있는 학생 기준으로 식만 잘 만들어 낼 수 있다면 쉽게 풀 수 있게 만든 문제였는데, 식을 세우는 과정마저도 수월했어서 큰 어려움을 겪는 수험생은 많지 않았을 것으로 생각된다.
문제
길이가 10인 선분 AB를 지름으로 하는 원과 선분 AB위에 AC=4 인 점 C가 있다. 이 원 위의 점 P를 PCB=θ가 되도록 잡고, 점 P를 지나고 선분 AB에 수직인 직선이 이 원과 만나는 점 중 P가 아닌 점을 Q라 하자. 삼각형 PCQ의 넓이를 S(θ)라 할 때, -7*S'(π/4)의 값을 구하시오.

정답
(주관식) 32
해설
라이프니츠 미분법 문제라는 것을 직감한 뒤부터는 식이 한 문자로 정리되지 않을 것임을 대충 예상하고 있어야 한다.


필자는 S(θ)를 구하기 위해선 두 변과 끼인각을 알면 되겠다고 생각했다.
원의 중심(O)에서 P를 이으면 위 그림과 같이 된다. AC의 길이는 4라고 주어졌으므로 CO=1, OP=5이다. 삼각형이 하나 완성되었으므로 아래와 같이 삼각형으로 식을 하나 세울 수 있다.

또 우리는 S(θ)를 x와 θ로 표현할 수 있다.

답을 구하기 위해 S(θ)를 미분하면 아래와 같이 된다.

거의 다 끝났다. θ=π/4일 때 x의 값과, 1번식을 미분한 뒤 θ=π/4과 그 때의 x의 값을 대입해 dx/dθ만 알아내 대입하면 된다.
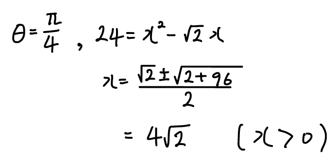
θ=π/4일 때 x의 값과, 1번식을 미분한 뒤 θ=π/4과 그 때의 x의 값을 얻기 위해 1번 식으로 다시 갔다.

θ에 π/4를 대입하면 위와 같이 되는데 풀어내면 4√2와 -3√2가 나오게 된다. x는 길이이므로 양수이고 4√2임을 알 수 있다.
dx/dθ를 알아내기 위해 다음 식을 미분한 뒤 θ에 π/4와 x에 4√2를 대입했다. (필자는 x에 대해 미분한 뒤 뒤집어 dx/dθ를 구했다. θ로 한번에 미분해도 된다.)


자 이제 계산만 하면 된다.


고로 답은 32
문제 검색 하는 법
문제 검색 하는 법 : [학년도/시행월/문제번호/과목명]
과목명 : [m - 수학 1ᐧ수학 2ᐧ미적분, k - 독서ᐧ문학ᐧ언어와 매체, p - 물리학 1]
ex) 24학년도 9월 모의고사 미적분 29번 풀이의 경우 "240929m"(으)로 검색
혹시 오류가 있다면 언제든 지적 부탁드립니다! 감사합니다!
'모의고사·수능 > 수학 2024학년도' 카테고리의 다른 글
| 2024학년도 대학수학능력시험 공통영역 20번 해설, 문제, 정답, 풀이 [241120m] (0) | 2023.11.18 |
|---|---|
| 2024학년도 대학수학능력시험 공통영역 22번 해설, 문제, 정답, 풀이 [241122m] (0) | 2023.11.18 |
| 2024학년도 6월 미적분 29번 엄청 쉬운 풀이 / 틀렸으면 들어와서 확인하기! [240622m] (4) | 2023.06.27 |
| 2024학년도(2023년 시행) 6월 수학 공통 22번 (오답률 1위) 엄청 쉬운 풀이, 문제, 정답, 해설, 정답률 [240622m] (0) | 2023.06.25 |
| 2024학년도(2023년 시행) 6월 모의고사 공통 12번 해설, 문제, 정답, 풀이 [240612m] (0) | 2023.06.25 |