2026.01.20) 최근에 미적분에서 원과 도형을 이용한 문제를 본 적이 없는것 같다. 혹시라도 기출을 풀면서 이 글을 보는 학생이 있다면 이런 내용을 풀 수 있는 "기초체력"은 얼마든지 마련해둬야한다고 생각한다. 즉, 문제 풀이 요법보다 어떤 생각을 갖게되는지, 풀이를 위한 생각을 어떻게 해야하는지에 대해 집중하면 된다.
오답률
2024학년도 6월 모의고사 수학 미적분


메가스터디와 EBSi 오답률을 찾아보면 많은 학생들이 29번, 22번, 30번을 포함한 기존 준킬러-킬러 문항대에서 어려움을 느낀 것을 알 수 있다. 개인적으로는 미적분 28번이 상당히 어려웠다고 생각했는데, 오답률 베스트 5에는 끼지도 못 한점이 의외이다.
이번 게시글에서 풀이할 29번은 조금만 센스 있게 풀이하면 간단히 풀이할 수 있다. 이번 문제를 통해 미분, 식 조작 방법을 마스터 하면 될 듯 하다. 또, 문제에서 조건을 두 접선이 직각이라고 주어줬지만, 충분히 다른 각도를 주어 계산하게 할 수 있을 것이다. 물론, 이렇게 문제를 출제한다면 조금 쉽게, 또 문항 번호도 앞에 두겠지만.
평가원은 6월, 9월에 출제 했던 미분/적분 문제에서 비슷한 개념을 차용해 적분/미분 문제를 만드는 경향이 있다. 9월 모의고사 문제를 봐야 알겠지만, 이번 수능 28, 29, 30번에 이와 비슷한 적분 문제가 출제될 가능성을 충분히 염두해 두고 공부해야 한다.
문제

세 실수 $a,\,b,\,k$에 대하여 두 점 $A(a,a+k)$, $B(b,b+k)$가 곡선 $C:x^2-2xy+2y^2=15$ 위에 있다. 곡선 $C$ 위의 점 $A$ 에서의 접선과 곡선 $C$ 위의 점 $B$에서의 접선이 서로 수직일 때, $k^2$ 의 값을 구하시오. (단, $a+2k\neq0,\,b+2k\neq0$) [4점]
정답
( 단답형 ) 5
해설

우선 곡선 $C$를 $y$에 대해 미분하면 $\displaystyle2x-2y-2x\frac{dy}{dx}+4y\frac{dy}{dx}=0$이다.
$\displaystyle\frac{dy}{dx}=\frac{x-y}{x-2y}\,(\text{단, }x-2y\neq0)$

두 점 $A$, $B$에서의 접선의 기울기는 각각 $\displaystyle\frac{k}{2k+a}$, $\displaystyle\frac{k}{2k+b}$이다. (문제에서 $a+2k\neq0,\,b+2k\neq0$ 조건을 제공함)
이제 두 접선의 기울기가 수직인 점을 이용하면 식이 하나 나올 것이다.
$$\frac{k}{2k+a}\frac{k}{2k+b}=-1\quad\because\text{수직}\\$$
$$\begin{align} k^2 &= -1\cdot(2k+a)(2k+b)\\ 0 &= {5k^2+2k(a+b)+ab} \end{align}$$

또, 우리는 곡선 위의 점의 좌표를 아니깐 대입해서 값을 얻을 수 있다.
$C:(x-y)^2+y^2=15$
각각 두 점을 대입하면
$k^2+(a+k)^2=15,\,k^2+(b+k)^2=15$를 얻을 수 있고,
두 식을 서로 빼면 $(a+k)^2=(b+k)^2$를 구할 수 있다.
즉, $a+k=b+k$, 또는 $a+k=-(b+k)$
그런데, 첫번째의 경우에는 $a=b$, 곡선의 같은 점에서의 기울기가 서로 수직일 수 없으므로 모순.
그러므로 $a+b=-2k$이다.
위에서 구한 $5k^2+2k(a+b)+ab=0$에 $a+b=-2k$를 넣어 계산하면 $k^2=-ab$를 얻을 수 있다.
이제 거의 다 왔다.
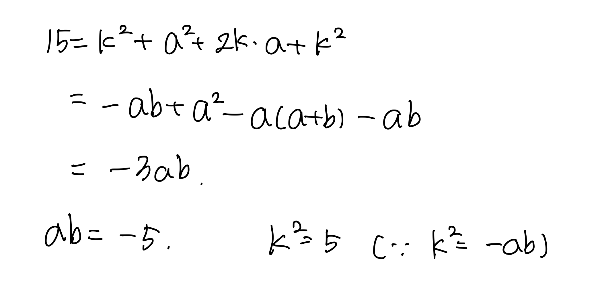
-마지막 계산 방법 1-

위에서 구한 $15=k^2+(a+k)^2$에서 k를 없애는 방향으로 식을 조작하면
$\begin{align}15&=k^2+a^2+a\cdot 2k+k^2\\
&=-ab+a^2-a(a+b)-ab\\
&=-3ab\end{align}$
$ab=-5$이다.
$k^2=-ab$였으므로, $k^2=5$
-마지막 계산 방법 2-

$a+b=-2k$, $ab=-k^2$이었다.
$a$와 $b$를 이차방정식의 두 근이라고, 또 위의 두 식은 근과 계수의 관계를 알려준 것이라고 생각하면 $a$와 $b$를 $k$로 표현할 수 있다.
두 근의 평균은 $-k$이고, 각각 같은 거리 미지수 $p$만큼 떨어져 있다.
두 근의 곱이 $-k^2$이었으므로
$(-k+p)(-k-p)=-k^2$
$p=\pm\sqrt{2k}$
$a$와 $b$의 좌표는 $-k\pm\sqrt{2k}$이다.
이렇게 구한 좌표를 다시 곡선의 방정식에 대입해주면
$k^2+(\sqrt{2k})^2=15$, $k^2=5$가 나온다.
혹시 오류가 있을 수 있습니다. 혹시라도 발견하신다면 언제든 지적 부탁드립니다! 감사합니다!
문항의 오류를 댓글로 알려주신 두 분 정말로 감사드립니다!
'모의고사·수능 > 수학 2024학년도' 카테고리의 다른 글
| 2024학년도 대학수학능력시험 공통영역 22번 해설, 문제, 정답, 풀이 [241122m] (0) | 2023.11.18 |
|---|---|
| 2024학년도 9월 모의고사 미적분 30번 해설, 문제, 정답, 풀이 [240930m] (5) | 2023.09.07 |
| 2024학년도(2023년 시행) 6월 수학 공통 22번 (오답률 1위) 엄청 쉬운 풀이, 문제, 정답, 해설, 정답률 [240622m] (0) | 2023.06.25 |
| 2024학년도(2023년 시행) 6월 모의고사 공통 12번 해설, 문제, 정답, 풀이 [240612m] (0) | 2023.06.25 |
| 2024학년도(2023년 시행) 6월 모의고사 공통 13번 해설, 문제, 정답, 풀이 [240613m] (0) | 2023.06.24 |