서론
2024학년도 6월 모의고사 수학 공통 13번 해설, 문제, 정답, 풀이 글.
주어진 조건들을 차근차근 풀어나가다보면 정답의 꼴이 나오는 문제 형태인데, 마지막에 정답을 구할 때 식을 변형한 부분은 짚고 넘어가면 좋을 듯 하다.
문제

그림과 같이
$$\overline{BC}=3,\,\overline{CD}=2,\,\cos(\angle{BCD})=-\frac13,\,\angle{DAB}>\frac{\pi}2$$
인 사각형 $ABCD$에서 두 삼각형 $ABC$와 $ACD$는 모두 예각삼각형이다. 선분 ${AC}$를 $1:2$로 내분하는 점 $E$에 대하여 선분 $\overline{AE}$를 지름으로 하는 원이 두 선분 $\overline{AB}$, $\overline{AD}$와 만나는 점 중 $A$가 아닌 점을 각각 $P_1$, $P_2$라 하고, 선분 $\overline{CE}$를 지름으로 하는 원이 두 선분 $\overline{BC}$, $\overline{CD}$와 만나는 점 중 $C$가 아닌 점을 각각 $Q_1$, $Q_2$라 하자. $\overline{P_1P_2}$ : $\overline{Q_1Q_2} = 3 : 5\sqrt{2}$이고 삼각형 $ABD$의 넓이가 $2$일 때, $\overline{AB} + \overline{AD}$의 값은? (단, $\angle AB > \angle AD$) [4점]

정답
( 객관식 ) 1번 : $\sqrt{21}$
해설

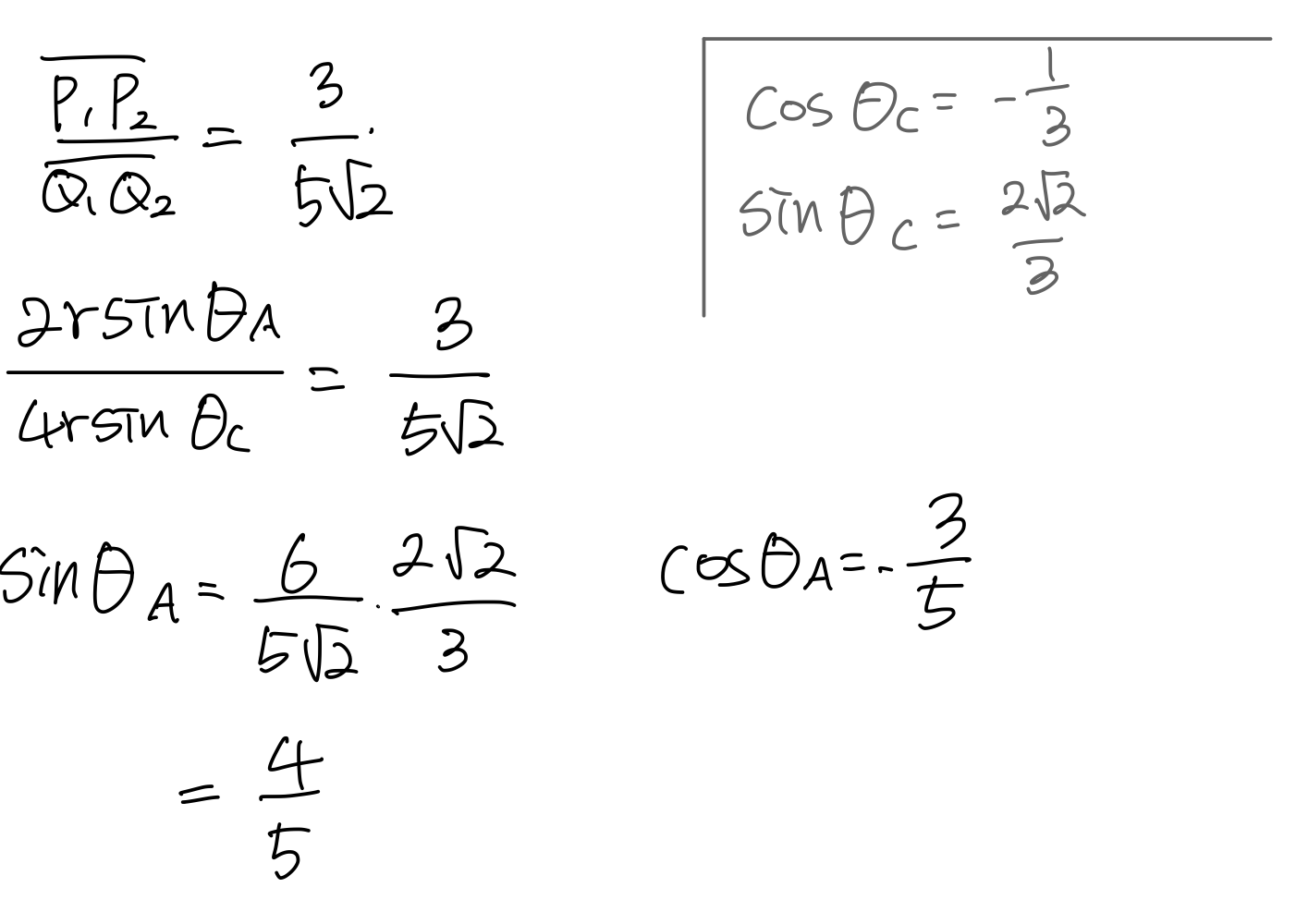
$\overline{AE}=2r$이라 하면 $\overline{EC}=4r$이다. ($\because$점 $E$는 $1:2$ 내분점)
$\overline{AE}$를 지름으로 하는 원의 중심을 $O_A$라고, $\angle{P_1AP_2}=\theta_A$라고 하자. 원주각의 성질에 의해 $\angle{P_2O_AP_1}=2\theta_A$이다. 같은 논리로 $\overline{EC}$를 지름으로 하는 원의 중심을 $O_C$라고, $\angle{Q_1CP_2}=\theta_C$라고 하면, 원주각의 성질에 의해 $\angle{Q_2O_CQ_1}=2\theta_C$이다.
$\begin{aligned}\overline{P_1P_2}&=r\cdot\sin(\pi-\theta_A)\cdot 2\\&=2r\sin(\theta_A)\end{aligned}$
$\begin{aligned}\overline{Q_1Q_2}&=2r\cdot\sin(\pi-\theta_C)\cdot 2\\&=4r\sin(\theta_C)\end{aligned}$

아래와 같다. 위에 두 식을 대입하면
$$\displaystyle\frac{\overline{P_1P_2}}{\overline{Q_1Q_2}}=\frac3{5\sqrt2}$$
$$\displaystyle\frac{2r\sin\theta_A}{4r\sin\theta_C}=\frac3{5\sqrt2}$$
$$\begin{aligned}\sin\theta_A&=\frac6{5\sqrt2}\cdot\sin\theta_C\\ &=\frac6{5\sqrt2}\cdot\frac{2\sqrt2}3\,(\because\,\cos\theta_C=-\frac13)\\&=\frac45\end{aligned}$$

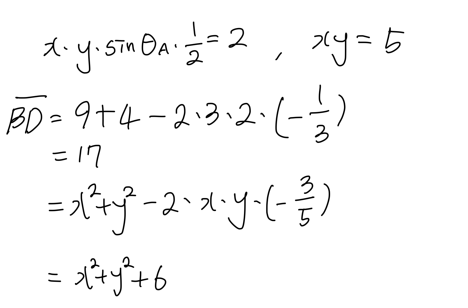
$\overline{AB}=x,\,\overline{AD}=y$ 라고 하면, $\displaystyle\frac12xy\sin\theta_A=2,\,xy=5$

$\overline{BD}$를 구하는 코사인 법칙을 두 번 사용해보자.
$\begin{aligned}\displaystyle\overline{BD}&=3^2+4^2-2\cdot3\cdot2\cdot(-\frac13)\\&=17\\&=x^2+y^2-2xy\cdot(-\frac35)\\&=x^2+y^2+6\end{aligned}$

$x^2+y^2=11$, 완전 제곱꼴을 만들기 위해 양 변에 $2xy$를 각각 더하면
$x^2+y^2+2xy=11+2xy$,
$(x+y)^2=21$,
$(x+y)=\sqrt{21}$
$\therefore\overline{AB}+\overline{AD}=\sqrt{21}$
오류가 있다면 언제든 지적 부탁드립니다! 감사합니다!