서론
그냥 적당한 수열 문제이고, 너무 어렵지 않은, 통상 난이도의 50%정도의 난이도인 15번 수열 문제였다. 케이스 분류 잘 하고 역추적만 천천히 잘 했다면 쉽게 풀고 넘겼을 것으로 예상된다.
문제


아래 글이 위 사진처럼 자연스럽지 않다면 >> https://mathlab.kr/22
다음 조건을 만족시키는 모든 수열 ${a_n}$에 대하여 $a_1$의 최댓값을 $M$, 최솟값을 $m$이라 할 때, $\displaystyle \log_2 \frac{M}m$의 값은?
(가) 모든 자연수 $n$에 대하여
$\quad a_{n+1}=\begin{cases} 2^{n-2} & \text{(}a_n \text{ < 1)} \\ \log_2{a_n} & \text{(}a_n\geq\text{1)} \end{cases}$
(나)$a_5 + a_6 = 1$
정답
객관식 : 4번 ( 15 )
해설
$a_5$가 1보다 크거나 같을 때와 작을 때를 구분해서 문제를 해결해보자. 필자는 틀린 경우인 1보다 작은 경우를 먼저 가정해서 진행해보겠다.

$a_5<1$이라면... $a_6$는 첫번째 조건을 타고 넘어가
$a_6=2^{5-2}=8$이 나올 것이고, (나) 조건에 의해
$a_5=-7$이 될 것이다. 그런데, $a_5$가 $-7$ 이 나오기 위해서는
$a_4=2^{-7}$이어야 하는데, $2^{-7}<1$이므로 $a_4 \rightarrow a_5$간 연결이 불가하다.

$a_5 \geq 1$인 경우...
$a_6=\log_2{a_5}$이다.
$a_5+a_6=1$이므로 $a_5+\log_2{a_5}=1$, 수학적인 감각으로 $a_5=1$임을 알 수 있다.
만약 이 글을 읽고 있는 독자가 수학적 감각이 부족하다면 아래와 같이 $a_5$를 구할 수 있다. (위 그림 참고)
$a_5+\log_2{a_5}=1$를 다음 두 식으로 나누어주자. $y=\log_2{a_5}$, $\quad y=1-a_5$
그래프를 그려보면 $a_5=1$에서만 교점을 형성하는 것을 확인할 수 있다.
$\therefore a_5=1$, $a_6=0$

$a_6=0$
$a_5=1$이고, $a_1$을 향해 쭉쭉 올라가보자.
$a_4=2$라고 생각하거나 $a_4=2^{3-2}$라고 생각해 볼 수 있다. (결국 둘은 같은 값이지만 $a_3$이 두 가지의 경우의 수가 있다는 뜻)
$a_3 \geq 1$의 경우...
$a_3=2^2$이고
$a_2=2^{2^2}=2^4$
$a_1=2^{2^{2^2}}=2^{16}$을 구할 수 있다. 계속 로그 함수를 타고 값이 줄어드는 모양이니 이 값이 가장 클 것이다.
$a_3 < 1$의 경우...
$a_2$가 두 가지의 경우의 수가 존재하는 것처럼 보이지만, $a_2<1$인 경우에는 $a_3=1$이므로 모순된다. 결국 $a_2 \geq 1$이다.
그런데, $a_2 \geq 1$이라는 것은 곧 $\log_2{a_1} \geq 1$임을 의미하므로, $a_1 \geq 2$이다.

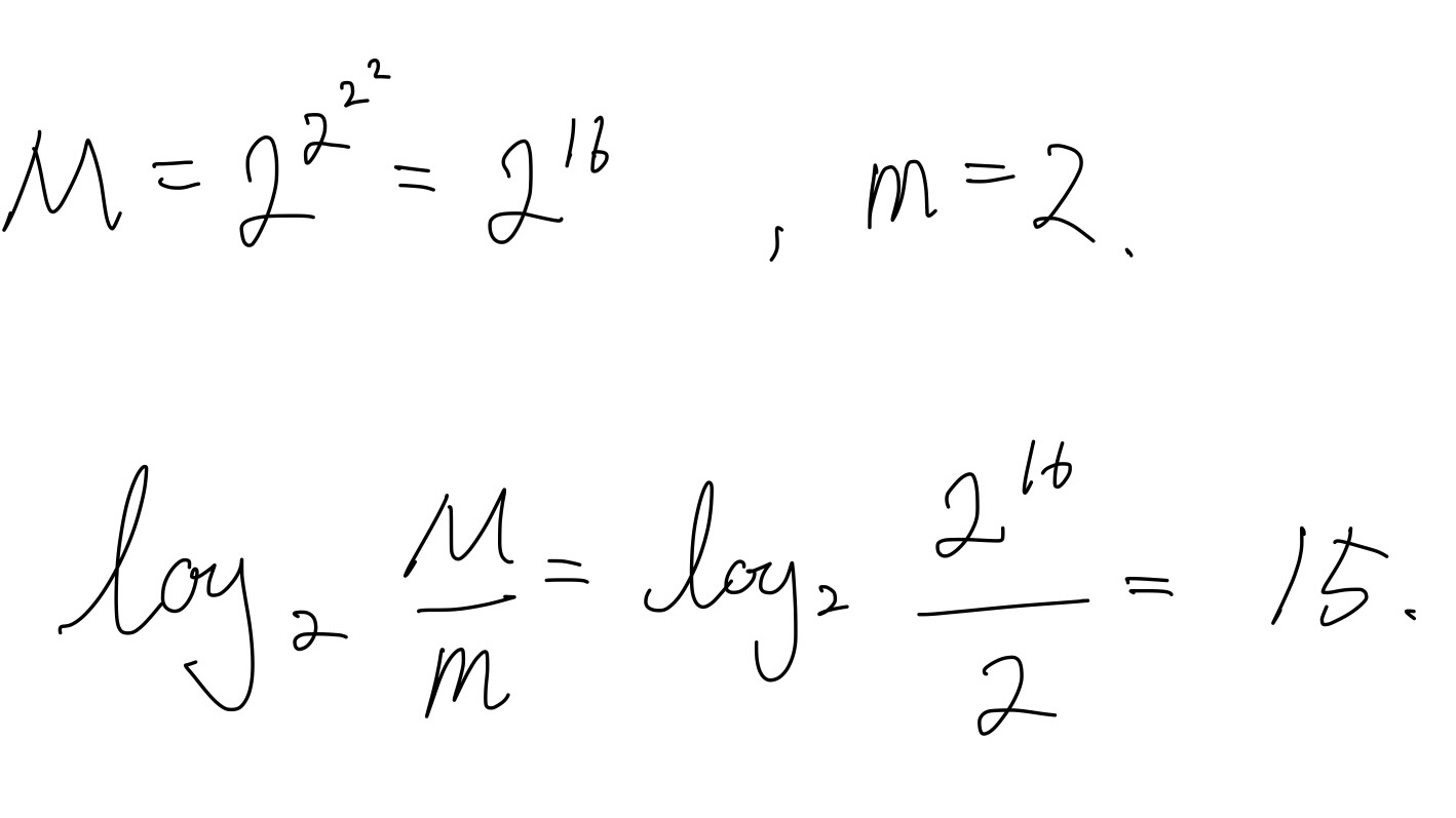
$M=2^{2^{2^2}}=2^{16}$, $m=2$이므로
$\displaystyle \log_2 \frac{M}m = \log_2 \frac{2^{16}}2 = 15 $
경우의 수를 나누어 생각할 수 있었다면 쉽게 풀었을 문제이다.
개인적으로는 케이스 분류와 $a_5=1$임을 알아내는 논리 과정, 이 두 가지 이해를 학습 목표로 두고 하면 좋겠다고 생각된다.
그렇게 어려운 문제는 아니므로 맞았다면 그냥 맞은 문제로 넘기고, 곧 있을 6월 모의평가를 대비하며 열심히 공부하자.
수험생들 파이팅
혹시 오류가 있다면 언제든 지적 부탁드립니다! 감사합니다!