평가
올해 2024학년도 4월 모의고사는 교육청 학생들 개인정보 파일 유출로 인해 5월로 미루어져, 5월 10일인 오늘 5월 모의고사 같은 4월 모의고사가 치러졌다. 현역 학생들은 중간고사 끝나고 이제 막 놀기 시작했는데 갑자기 모의고사를 보아 기분이 그렇게 좋지는 않을 것이다. 하지만, 이 글을 읽는 모든 수험생들은 "재수를 선택하든 안 하든" 남은 6개월을 유의미하게 보냈으면 한다. 지금 얼마나 하느냐가 물론 올해 입시의 결과를 좌우하기도 하지만, "만약" 재수를 하더라도 지금 베이스를 얼마나 쌓아두냐가 내년의 결과를 가르기 때문이다.
이번 해설할 문제는 내 스타일인 문제는 아니지만, 뭐,, 당황하지 않고 작은 원의 반지름을 구할 생각만 했다면 쉽게 정답을 구할 수 있었을 문제라고 생각한다.
문제


아래 글이 위 사진처럼 자연스럽지 않다면? >> https://seook.tistory.com/21
그림과 같이 중심이 $O$, 반지름의 길이가 $8$이고 중심각의 크기가 $\displaystyle \frac {\pi}2$ 인 부채꼴 $OAB$가 있다. 호 $AB$ 위의 점 $C$에 대하여 점 $B$에서 선분 $OC$에 내린 수선의 발을 $D$라 하고, 두 선분 $BD$, $CD$와 호 $BC$에 동시에 접하는 원을 $C$ 라 하자. 점 $O$에서 원 $C$ 에 그은 접선 중 점 $C$를 지나지 않는 직선이 호 $AB$와 만나는 점을 $E$라 할 때 $\displaystyle \cos(\angle COE)=\frac7 {25}$이다.
$\sin(\angle AOE)=p+q\sqrt7$일 때, $200\times(p+q)$의 값을 구하시오.
(단, $p$와 $q$는 유리수이고, 점 $C$는 점 $B$가 아니다.) [4점]
정답
주관식 : $79$
해설
문제에서 구하고자 하는 값은 $\sin(\angle AOE)$인데, 이는 $\sin(\angle COE + \angle COA)$로 생각할 수 있다. 우리는 삼각함수 덧셈정리를 아니깐 $\angle COA$의 사인값 또는 코사인값을 구하면 정답을 구할 수 있다.
우선 $\angle COA = \theta$라 하자. 우리는 $\sin\theta$또는 $\cos\theta$만 구하면 정답을 구할 수 있다.
$\angle COA = \theta$이므로 $\displaystyle\angle COB = \frac{\pi}{2}-\theta$, $\angle OBD = \theta$이다.
더 이상 이 $\theta$로 알 수 있는 정보는 없어 보인다. 다음으로 넘어가자.

원 안에 내접하는 작은 원이 보인다. 우리는 이렇게 접하는 두 원을 보면, 한 원에 반사적으로 반지름을 적어야 한다. 원 $C$의 중심을 $G$이라고 하고 반지름을 $r$이라 하자. 또, 두 원이 접하는 점을 $H$라 하고 원 $C$와 $\overline {OC}$가 만나는 점을 $I$라고 하자. $\overline {GH}=r$, $\overline {OG}=8-r$, $\overline {GI}=r$이다. 편의를 위해 $\angle COE$를 $2\alpha$라 하자.
$\displaystyle\sin(\alpha)=\sin(\alpha)=\frac {r}{8-r}$이다. $\displaystyle\sin(\alpha)$는 덧셈정리를 사용해 구하면 다음과 같다.
$\displaystyle \cos(2\alpha)=\cos^2(\alpha)-\sin^2(\alpha)$이고, $\displaystyle \sin^2(\alpha)+\cos^2(\alpha)=1$이므로,
$\displaystyle \frac7{25}=1-2\sin^2(\alpha)$, $\displaystyle \sin^2(\alpha)=\frac9 {25}$, $\displaystyle \sin(\alpha)=\frac35$

$\displaystyle \sin(\alpha)=\frac{r}{8-r}$이므로 $r=3$이다.

$\overline {OI}=4$이고 $\overline {DI}=3$이므로 $\overline {OD}=1$이다.
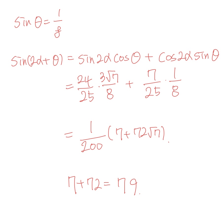
삼각형 $OBD$에 집중해보면 $\sin\theta$값을 구할 수 있다.$\displaystyle \sin\theta=\frac18$

$\sin(2\alpha+\theta)=\sin 2\alpha\cos\theta+\cos 2\alpha \sin\theta$으로 계산하면 $\displaystyle \frac1 {200}(7+72\sqrt7)$이 나온다.
$\displaystyle p=\frac7{200}$, $\displaystyle q=\frac {72}{200}$이므로, $\displaystyle 200\times (p+q) = 200\times(\frac7 {200} + \frac {72}{200})=79$
혹시 오류가 있다면 언제든 지적 부탁드립니다! 감사합니다!